Views: 7 Author: WANG Kun, WU Shanshan, LI Pan, XIAO Nan, DU Bing Publish Time: 2022-08-01 Origin: Food Science
Hyperuricemia is a risk factor of many diseases, and purine metabolism disorder and the excretion decrease of uric acid (UA) are the main causes of hyperuricemia. Therefore, reducing the production of UA and promoting the excretion of UA are two significant ways to alleviate the hyperuricemia. Poria cocos is an important fungus of “One Root of Medicine and Food”. At present, there are few studies on the effects of anti-hyperuricemia activity and gut microbiota in Poria cocos. Therefore, this article established a hyperuricemia rat model, evaluated the anti-hyperuricemia effect of Poria cocos powder, and discussed the mechanism of Poria cocos powder in the aspect of the production and excretion of UA. The results showed that Poria cocos powder could significantly reduce the serum level of UA and inhibit the activity of xanthine oxidase (XOD) in the serum and liver of hyperuricemia rats. In addition, Poria cocos powder could remarkably improve the renal function, glomerular atrophy, and renal tubule dilatation in hyperuricemia rats. Meanwhile, Poria cocos powder could significantly increase the relative abundance of Bacteroidetes、Alistipes and Parabacteroides, and significantly reduce the relative abundance of Firmicute. These results speculated that Poria cocos powder could promote the excretion of UA by alleviating kidney damage and regulating the intestinal flora. These outcomes are conducive to the industrial development of food therapy products of “One Root of Medicine and Food” in our country, the establishment of local specialty foods and a certain theoretical basis for the related products development of Poria cocos.
Hyperuricemia is due to purine Disorders of urine metabolism or decreased uric acid excretion lead to increased levels of uric acid (UA) in the blood [5]. About 2/3 of the UA in the human body is produced by the kidneys Dirty metabolism is excreted in urine, while the other 1/3 is metabolized in the intestine and excreted in feces, and a small amount is excreted in sweat [1]. intestinal micro Organisms are an important part of the gut, and the stability of gut microbiota is critical to gut health [6]. So keep your kidneys healthy and your gut bacteria healthy Cluster stabilization is an effective way to relieve hyperuricemia. Currently commonly used drugs for the treatment of hyperuricemia include xanthine oxidase inhibitors, urine acid inhibitors and recombinant uricase, however these drugs have certain side effects such as allopurinol which can cause severe allergic reactions and
rash [7]. Therefore, there is an urgent need to seek more effective and safe alternative therapies to prevent and treat hyperuricemia.
Poria cocos is the dried sclerotia of Poria cocos (Schw.) Wolf, also known as conifer taro, Yunling, Fuling, etc. Required "medicine and food homologous" materials.
Poria has a variety of biological effects, such as liver protection, anti-inflammatory, anti-cancer, anti-oxidation, etc. [10]. The main chemical components in Poria cocos are polysaccharides, triterpenoids, and also contain sterols, fatty acids, volatile oils and other substances [11]. Both polysaccharides and triterpenoids in plants have been reported to have anti-hyperuricemia activity[12, 13], and Poria is often added to traditional Chinese medicine formulations for the prevention and treatment of hyperuricemia [14, 15]. Efficacy of prevention and treatment of hyperuricemia. At present, there are few reports on the uric acid-lowering efficacy of Poria cocos and its effects on intestinal flora. Therefore, this paper
The anti-hyperuricemia efficacy of Poria cocos powder was discussed, and the renal protection and intestinal flora regulation effects of Poria cocos powder on hyperuricemia rats were analyzed.
1、Uric acid-lowering evaluation of Poria cocos powder
Elevated UA value is the main characteristic index of hyperuricemia [18]. As shown in Figure 1, the serum UA level of SD rats was higher than 110 μmol/L after administration of adenine and potassium oxonate for 10 days and showed a significant difference compared with the blank control group (p < 0.001). , which means that the modeling is successful, and subsequent experiments can be carried out [16].
After 4 weeks of intragastric administration of Poria cocos, there was no significant difference in body weight between the groups (p > 0.05). However, compared with the HUA group, the serum UA level of the rats fed with Poria cocos powder was significantly decreased (p < 0.001) in a dose-dependent manner, indicating that Poria powder can significantly reduce
Reduces UA levels in hyperuricemic rats, thereby alleviating hyperuricemia in rats. In addition, the high uric acid level in the HUA group in Figure 2b was lower than 110 μmol/L, mainly because adenine and potassium oxonate were not administered during the gavage sample, resulting in the UA level in the HUA group being lower than 110 μmol/L , not modeling failure, such phenomenon has also been reported in many literatures [19, 20]. XOD is mainly expressed in the liver, and increasing the activity of XOD can promote the production of serum UA [21]. Therefore, we further determined the activity of XOD in serum and liver. The results showed that Poria cocos powder could significantly reduce the activity of XOD in serum and liver of hyperuricemic rats (p < 0.05). Based on this, it is speculated that Poria cocos powder can reduce the production of serum UA by reducing the activity of XOD, and achieve the effect of relieving hyperuricemia.
2、Effects of Poria cocos powder on renal function in hyperuricemia rats
As shown in Fig. 3a, the kidney coefficient of the rats in the HUA group was significantly increased compared to the CON group (p < 0.001), that is, the kidneys of the rats with high uric acid may be damaged, and the kidney coefficient of the rats after gavage with Poria cocos Significantly decreased compared to the HUA group (p < 0.05). BUN and Cr are important indicators for evaluating renal function [22]. Figures 3b and 3c showed that the levels of BUN and Cr in the HUA group were significantly higher than those in the CON group (p < 0.001), that is, renal function was impaired in hyperuricemia rats induced by adenine and potassium oxonate. However, the levels of BUN and Cr in hyperuric acid rats fed with Poria cocos powder were significantly lower than those in the HUA group, suggesting that Poria cocos powder can improve renal function impairment caused by hyperuricemia.
3、Effects of Poria cocos powder on the morphology of kidney tissue in rats with hyperuricemia
As shown in Figure 4, the renal cells of the CON group were neatly arranged, the glomeruli and tubules were clearly visible, there was no inflammatory cell infiltration in the interstitium, and the tissue structure was normal. In the HUA group, the renal tubules were dilated, the glomeruli atrophied, and the cells were vacuolated, manifesting as renal tissue lesions. Compared with the HUA group, the kidney tissue of rats given low-dose and medium-dose Poria cocos powder was significantly improved, but cell vacuolization, inflammatory cell infiltration and slight glomerular atrophy still occurred. However, given high dose of Poria cocos, the renal tissue lesions of the rats were significantly improved. Kidney tissue was scored (Fig. 4b), and it was found that the kidney injury score of the low-dose sample group decreased, but there was no significant difference compared with the model group (p > 0.05), while the kidney injury scores of the middle-dose and high-dose groups were significantly lower than the model group (p < 0.05). In addition, the number of glomeruli in the model group was significantly lower than that in the blank group (p < 0.001), while Poria powder could increase the number of glomeruli in the kidneys of rats with hyperuricemia. Therefore, it is speculated that Poria cocos can improve kidney tissue damage in hyperuricemic rats.
4、Effects of Poria cocos powder on intestinal flora in hyperuric acid rats
4.1、
Intestinal flora diversity analysis
The dilution curve is a graph constructed by randomly extracting the sequences in the sample, with the number of extracted sequences as the abscissa and the corresponding number of OTUs as the ordinate. This curve can be used to judge whether the amount of data tested is reasonable. When the curve gradually becomes flat, it indicates that the amount of sequencing data is large enough to reflect the vast majority of microbial information in the sample [23]. As shown in Figure 5a, when the number of readings for each sample is large enough, the curve gradually becomes flat, which means that the sampling amount in this experiment is reasonable and can reflect most of the microbial information in the sample, and subsequent data analysis can be performed. From the α-diversity analysis (Fig. 5b), it can be seen that there are slight differences in Shannon index among the groups, but no significant differences, that is, there are no significant differences in species richness and diversity among the groups.
β-diversity analysis can be used to study the similarity and difference of bacterial community structure in different samples. Commonly used analysis methods include sample hierarchical cluster analysis, principal coordinate analysis and multidimensional scaling analysis [24]. In this experiment, principal coordinate analysis (PCoA) was performed on all samples based on the Bray_curtis distance algorithm. As shown in Figure 5c, the HUA group and the CON group were separated and aggregated, and the difference was obvious, that is, the microflora structure of the hyperuricemia rats was different from that of the normal mice, while the hyperuricemia of the poria cocos powder was higher than that of the normal mice. The mouse coordinates were shifted to the CON group, indicating that Poria cocos could modulate the intestinal flora composition of hyperuricemic rats. Anosim and MRPP are based on the OTU relative abundance table to analyze whether the differences in microbial community structure between groups are significant. Figure 5d shows that there is a significant difference between the hyperuricemia rats fed with Poria cocos powder and the HUA group (p < 0.05), which indicates that Poria cocos powder can change the intestinal flora structure of hyperuricemic rats. The above results indicated that Poria cocos could regulate the intestinal flora structure of hyperuricemic rats.
4.2、Analysis of the composition of intestinal flora
In order to further explore the effect of Poria cocos powder on intestinal flora with hyperuricemia, we analyzed the changes of Poria cocos powder on the dominant flora at the level of intestinal flora in rats. As shown in Figure 6a, the dominant flora of rats in different groups were Firmicutes and Bacteroidetes, accounting for more than 90% of the total number of colonies. Compared with the CON group, the relative abundance of Firmicutes increased and the relative abundance of Bacteroidetes decreased in the HUA group, while the relative abundances of Firmicutes and Bacteroidetes in the hyperuricemic rats fed with Poria cocos were similar to those in the CON group. Firmicutes/Bacteroidetes (F/B) value is considered to be an important indicator for judging the disturbance of intestinal flora [25]. As shown in Figure 6b, the F/B value of the HUA group was significantly higher than that of the CON group (p < 0.05), indicating that the intestinal flora of the hyperuricemic rats was disturbed, and the intragastric administration of Poria cocos could make the hyperuricemia The F/B values of the ill rats tended to normalize. Therefore, Poria cocos can modulate the changes of microflora at the mid-phylum level in hyperuricemic rats.
At the genus level, the gut microbial composition of each group is mainly Bacteroides, unidentified_Ruminococcaceae, Romboutsia, unidentified_Lachnospiraceae, Turicibacter
, Alloprevotella, and Lactobacillus, among which Bacteroides and unidentified_Ruminococcaceae were the dominant flora (Fig. 6c).
Compared with the CON group, the HUA group increased the relative abundance of bacterial groups such as Turicibacter, Blautia, and unidentified_Corynebacteriaceae, and decreased the relative abundance of bacterial groups such as Bacteroides, Alistipes, Parabacteroides, Oscillibacter, and so on. Compared with the HUA group, the relative abundances of Bacteroides, Alistipes, Parabacteroides, Oscillibacter, and Roseburia increased and the relative abundances of Romboutsia, Turicibacter, Blautia, and unidentified_Corynebacteriaceae decreased after oral administration of Poria cocos powder, indicating that gavage of Poria cocos can regulate hyperuricemia Microbial changes at the genus level in the gut microbiota of patients with schizophrenia.
4.3、Analysis of differences in the composition of intestinal flora
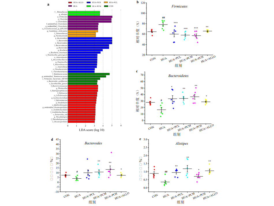
Lefse analysis (LDA value greater than 3) was used to screen out bacterial groups with significant differences between groups. The longer the bar graph, the more significant the difference (Figure 7a). The bacterial genera with significant differences at the phylum level are shown in Figures 7b ~ 7c. The relative abundance of Firmicute in the HUA group was significantly higher than that in the CON group (p < 0.01). The relative abundance of Firmicute in rats was significantly decreased (p < 0.001). Contrary to the trend of Firmicute, the relative abundance of Bacteroidetes in HUA group was significantly lower than that in CON.
group (p < 0.05), while the relative abundance of Firmicute in hyperuricemic rats was significantly increased (p < 0.001) after gavage of Poria cocos powder, and there are similar reports in other literatures [2]. The genera with significant differences at the genus level are shown in Figures 7d ~ 7g. The relative abundances of Bacteroides, Alistipes and Parabacteroides in the HUA group were significantly decreased (p < 0.05). This result has also been reported in other literatures[26, 27]. However, Poria powder in low, medium and high dose groups could increase the relative abundance of Bacteroides, Alistipes and Parabacteroides in hyperuricemic rats.
Hyperuricemia is an inducing factor leading to gout and other related diseases, which seriously endangers people's life and health. As an important "medicine and food homologous" material, Poria cocos is rich in polysaccharides, triterpenes and other biologically active substances [28], but there are few studies on the reduction of uric acid and intestinal flora of Poria cocos. Therefore, in response to the Healthy China strategy, the development and utilization of "medicine and food homologous" materials will improve people's health status.
In this paper, the uric acid-lowering effect of Poria cocos powder was explored, and the effects of Poria cocos powder on kidney and intestinal flora of rats with hyperuricemia were analyzed. It provides a new way for the development and utilization of Poria related products and for relieving hyperuricemia. Hyperuricemia is a metabolic disease in which the level of UA in the body is higher than normal due to disturbance of purine metabolism or decreased excretion of UA [5]. UA is the final product of purine metabolism, mainly in the form of urate anion in the body circulation, and uric acid cannot be obtained directly through food, but ingested food containing purines and finally generated through the purine metabolic pathway. XOD is a key enzyme in the process of purine metabolism, which catalyzes the oxidation of hypoxanthine to xanthine, which in turn is oxidized to UA. Therefore, inhibiting the activity of XOD can effectively reduce serum levels.
UA levels [29]. Qi et al. [30] reported that whey protein hydrolyzate could prevent the production of UA by inhibiting the activity of XOD in serum and liver.
Our results also found that Poria cocos can reduce the UA level in the serum of hyperuricemia rats, and also can reduce the activity of XOD in the serum and liver. Therefore, it is speculated that Poria cocos can reduce the production of UA by inhibiting the activity of XOD, and achieve the effect of lowering uric acid.
In addition, the occurrence of hyperuricemia can also lead to impaired renal function. However, about 2/3 of the UA in the body is excreted in the urine through renal metabolism, so ensuring the health of the kidneys is very important to promote the excretion of UA[6] . The results of this paper show that Poria powder can significantly improve the
At the same time, the pathological observation also found that Poria cocos powder can significantly improve the glomerular atrophy, renal tubular dilatation and inflammatory cell infiltration in hyperuricemia rats. Therefore, it is speculated that Poria cocos can promote the excretion of UA by improving kidney damage.
In addition to being metabolized from the kidneys, about one-third of UA is metabolized in the gut and excreted in the feces. As an important component of the intestinal tract, the intestinal flora is involved in various physiological activities such as digestion and metabolism. The stability of gut microbiota is crucial to gut health, which can promote the normal excretion of UA from the body [6]. Increased levels of UA in the blood can affect the gut environment, thereby causing changes in the gut microbiota, which in turn can affect the metabolism of UA and further affect hyperuricemia [6]. Studies have reported that hyperuricemia can lead to changes in the structural composition of the gut microbiota [31], which is consistent with the results of β-diversity analysis in this paper. Firmicute and Bacteroidetes are the dominant flora in the intestinal flora, and the F/B value is considered to be an important indicator for judging the disturbance of the intestinal flora [25]. Li et al. [2] reported that the F/B value of hyperuricemic rats increased significantly, while the F/B value of the intestinal flora of the rats was significantly reduced after the intervention of Chlorella enterica polysaccharide. In this experiment, it was found that rats
The dominant flora of the intestinal flora were Firmicute and Bacteroidetes. The F/B value of hyperuricemia rats was significantly increased, while the F/B value of hyperuricemia rats in the Poria cocos group was significantly decreased, and compared with the blank group. There was no significant difference in the ratio, which was consistent with the results reported by Li et al. [2], indicating that Poria could regulate the structure of intestinal flora in rats with hyperuricemia. Bacteroidetes can inhibit the colonization of harmful bacteria in the intestinal flora and enhance the body's resistance to viruses, which is very important to ensure intestinal health [32]. Poria cocos can upregulate the relative abundance of Bacteroidetes in the gut microbiota. Parabacteroides can metabolize carbohydrates to butyric acid to provide energy for the metabolism of intestinal flora, and at the same time can resist the invasion of pathogens by secreting bacteriocins [33]. Alistipes has a strong anti-inflammatory effect, which can improve intestinal inflammation and protect intestinal health [34]. Poria powder could up-regulate the relative abundance of Alistipes and Parabacteroides, which was consistent with the results of Gao et al. [27]. Lactobacillus is an important beneficial bacteria in the gut. However, Lactobacillus was not significantly increased in hyperuricemic rats after oral administration of Poria cocos, which may be because Lactobacillus is not the target bacteria of Poria.
In summary, it is speculated that Poria cocos can hinder the production of UA by inhibiting the activity of XOD in the liver and serum, and promote the excretion of UA in hyperuricemic rats by improving kidney damage and regulating the structure of intestinal flora. It can reduce the increase of UA level in the serum of hyperuricemic rats, and finally achieve the effect of relieving hyperuricemia.